剛剛 | 7大耗材集采結果公布(附名單)
集采橫掃低值耗材市場,多輪洗牌后企業選擇求變。
01
7類低值耗材擬中選結果出爐
9月3日,河北省醫用藥品器械集中采購中心發布《關于公示導尿包等7種帶量聯動醫用耗材擬中選結果的通知》。

根據采購文件,本次集采品類為一次性使用導尿管、一次性使用導尿包、環形(柄)注射器、一次性使用人體靜脈血樣采集針、真空采血管、非侵入式血管止血裝置、三聯(連)三通7類低值耗材。
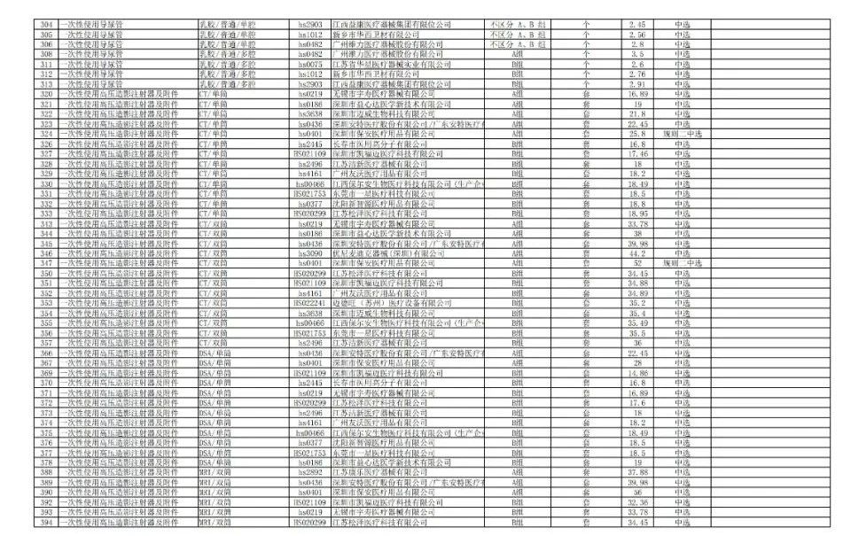
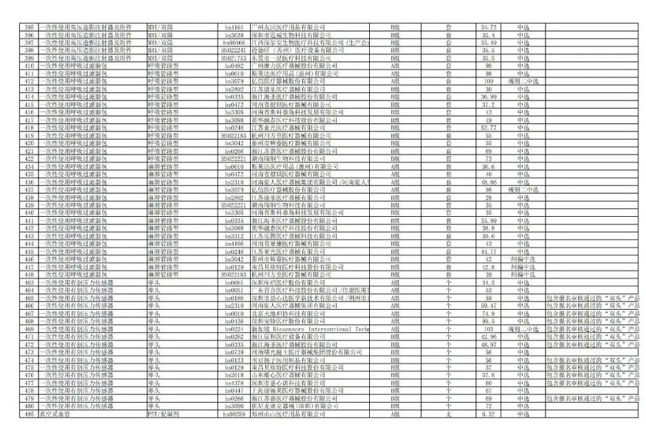
擬中選如下:

此次通告未披露具體的擬中選價格,但結合聯動其他省級/聯盟集采低價以及相關熔斷機制,整體降幅應處于相對穩定的態勢。
8月1日,河南省開封市醫保局公布了河南省豫東片區聯盟第二批醫用耗材集中帶量采購中選結果,其中就包括本次集采的3個品種(一次性使用導尿管、一次性使用導尿包、真空采血管)。

完整見文末
其他4個品種中,環形(柄)注射器、非侵入式血管止血裝置、三聯(連)三通此前被河南牽頭開展通用介入和神經外科類醫用耗材省際聯盟采購過,最低中選價分別為11元、19.7元、8元。
一次性使用人體靜脈血樣采集針曾在廣東、內蒙古、貴州、青海、江西五省聯盟集采中出鏡,最低中選價為1.74元。
從市級到省際聯盟,低值耗材集采的半徑正持續延伸,覆蓋品類的也逐步擴圍。

賽柏藍器械制圖
隨著降價潮全面襲來,低值耗材原有格局迎來改寫。在經歷新的市場洗牌后,相關企業增長引擎也悄然發生轉變。
02
紅海市場驅動企業求變
相較高值耗材,低值耗材產品同質化程度較高,市場競爭更為激烈。但基于老齡化趨勢和慢性病人群逐年增加,國內低值醫用耗材市場規模仍保持高速增長態勢。
《中國醫療器械藍皮書(2021年版)》數據顯示,2016-2020年中國低值醫用耗材市場規模由448億元增長至970億元,年均復合增速在20%左右,預計到2025年國內低值醫用耗材市場規模將達到2200億元。
隨著大規模集采推進,低值耗材市場呈現出加速集中的趨勢,研發能力不足、產品同質化嚴重的品牌或將面臨退市,具備規模優勢和創新能力的頭部企業將順勢受益。
但市場高度競爭的局面并未改變,且多輪降價后產品利潤更為微薄,醫療反腐、DRG的推動也使得臨床非必要產品使用量降低,越來越多國內企業將目光投向海外市場。
Wind數據顯示,2022年低值耗材海外業務收入占比平均為55.4%,醫療設備達到38.8%,高值耗材則為14.1%。
中信建投研報認為,2023年低值耗材收入受海外客戶去庫存影響而增速承壓。展望2024年,海外客戶去庫存影響基本出清,訂單開始陸續恢復,在去年低基數背景下低耗板塊今年海外收入增速有望呈現恢復性增長。
2024上半年,奧美醫療境外營收13.20億元,同比增長18.38%,占總營收83.43%;穩健醫療在海外市場實現營收7.9億元,同比增長14.1%;維力醫療海外市場營收3.37億元,同比增長27.71%。
低值耗材市場變革的號角已經吹響,業績承壓后的積極求變為催生出新的增長曲線。
附:河南省豫東片區聯盟第二批醫用耗材集中帶量采購中選結果







【來源:賽柏藍器械】

上一篇:神經介入類支架集采將啟動
相關閱讀
- 神經介入、外周介入集采結果公布(附名單)2025-01-21
- 加速降價!六大低值耗材集采來了2025-01-14
- 13省聯盟耗材集采結果公布,最高降幅93%2024-11-25
- 低值耗材聯盟集采來了2024-08-20
- 醫保局通知:6月20日起,大批耗材開始降價!2023-06-13






