財政部發文,2022年公立醫院配置需求來了
疫情后,全球對醫療和疾控體系的重視程度有了明顯提升。在國內,醫療投入大幅增加,以大型公立醫院擴容為主導的醫療新基建已經開始。
隨著醫院常規業務的復蘇,各個項目運行已逐步進入正軌。距離2022年還有不到一個月,新一年的醫療市場建設與擴容也已提上日程。
79.89億醫療補助資金下發
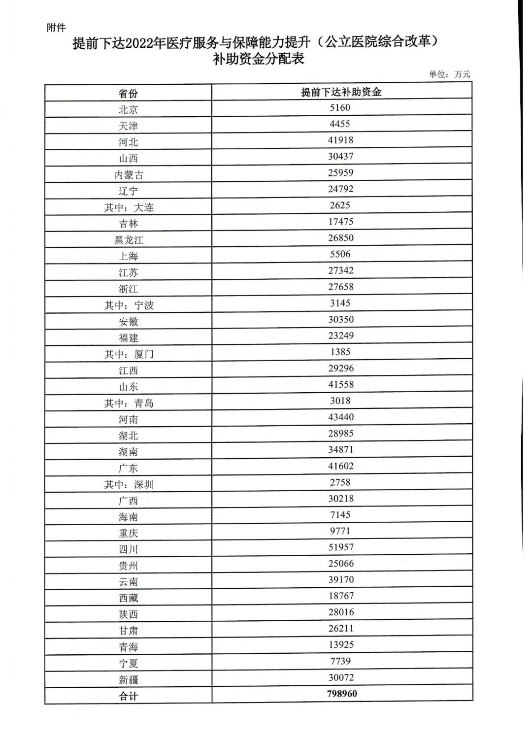
近日,財政部、國家衛生健康委、國家中醫藥局發布《財政部 國家衛生健康委 國家中醫藥局關于提前下達2022年醫療服務與保障能力提升(公立醫院綜合改革)補助資金預算的通知》。

該項直達資金的標識為“01中央直達資金”,貫穿資金分配、撥付、使用等整個環節,且保持不變。
文件要求要求各省25號前將直達資金分配到市縣基層的方案上報,財政部審核同意后下達到市縣。

同一天,財政部、國家衛生健康委發布《關于提前下達2022年醫療服務與保障能力提升(醫療衛生機構能力建設)補助資金預算的通知》。

詳情如下:

公立醫院配置進入快車道
國家衛健委曾指出,各地要科學配置大型醫用設備,提高大型醫用設備配置規劃的科學性和約束性,配置規劃要符合醫學技術的先進性、適宜性和可及性,與醫療機構功能定位、臨床服務需求相適應。政策加持下,醫療器械配置市場進入快車道。
今年9月,國家發改委發布消息,為深入貫徹落實黨中央、國務院決策部署,分步有序下達2021年度衛生健康領域中央預算內投資300億元,支持全國31個省(區、市)和新疆生產建設兵團構筑公衛防疫屏障,搭建便民就醫平臺,推動優質醫療資源擴容和區域均衡布局。
圍繞新冠疫情防控暴露出的短板弱項,對照疾控機構建設標準,安排中央投資84.44億元,支持省、市、縣三級疾控中心建設,提升省級、人口大市疾控中心檢測和應急處置“一錘定音”能力,筑牢基層公共衛生防控“第一道關口”。
建設區域醫療中心方面,安排中央投資85.3億元,支持24個國家區域醫療中心試點醫院起步建設,3個省級區域醫療中心網格化布局,113個縣級醫院提標擴能,推動特大城市“瘦身健體”,引導優質醫療資源向基層下沉、向群眾身邊延伸。
聚焦“重點病種”突破,打造疑難病癥診治省域高地。針對嚴重危害人民群眾健康的腫瘤、心腦血管、呼吸系統等重點病種,安排中央投資40.15億元,支持54個特色優勢突出、醫療技術水平較高、輻射帶動能力較強的省部級醫院,改善基礎條件,加強科研創新,提升省域內相關專科綜合診治能力。
7月1日,國家發改委、國家衛健委、國家中醫藥管理局、國家疾病預防控制局聯合發布《“十四五”優質高效醫療衛生服務體系建設實施方案》,文件提出,目前我國優質醫療資源總量不足,區域配置不均衡,醫療衛生機構設施設備現代化、信息化水平不高。要加快構建強大公共衛生體系,推動優質醫療資源擴容和區域均衡布局,提高全方位全周期健康服務與保障能力。
建設足量的負壓病房、可轉換重癥監護病區、可轉換院(病)區,加強傳染病解剖室、臨床教學用房、應急物資儲備空間等設施建設,配備呼吸機、體外膜肺氧合(ECMO)、移動 CT、傳染病隔離轉移裝置等醫學設備,有條件的可以配備移動生物安全三級水平實驗室、移動核酸檢測實驗室。
強化創傷病房、重癥監護病房、創傷復蘇單元等設施建設,以及接受傷員通道、二次檢傷分類區等院內場所改造提升。針對海(水)上、陸地、航空、雪域等場景需求,加強救援物資儲備配送能力和專業設施設備建設,結合實際配置信息聯通和指揮設備、移動手術室、移動 CT、直升機停機坪等。
在醫院建設方面,要求加快未能納入中央預算內投資支持范圍的市、縣級醫院建設,全面推進社區醫院和基層醫療衛生機構建設,力爭實現每個地市都有三甲醫院,服務人口超過 100 萬的縣有達到城市三級醫院硬件設施和服務能力的縣級醫院。
改善臨床診療基礎設施條件,適當超前配置大型醫用設備。深度運用 5G、人工智能等技術,打造國際先進水平的智慧醫院,建設重大疾病數據中心。支持國家醫學中心在醫療服務價格、醫保支付、人事薪酬制度、利益分配、新藥(醫療器械)研發上市等方面先行先試。
遴選建設 120 個左右省級區域醫療中心。提升大型設備配備水平,加強智慧醫院建設,保障遠程醫療需要。加強胸痛、卒中、創傷、呼吸等專病中心和腫瘤綜合治療中心、慢性病管理中心建設。
在基層方面,加強縣域醫共體建設,鼓勵依托縣級醫院建設開放共享的影像、心電、病理診斷、醫學檢驗等中心,加強遠程醫療和信息化設備配備,與高水平省市級醫院對接,與基層醫療衛生機構聯通。
可見,未來五年,政策傾斜尺度將持續放寬、財政投入力度不斷加大。城市大三甲牽頭之下的醫聯體和區域醫療中心建設將是醫療器械企業角逐的戰場之一。
【來源:賽柏藍器械】

相關閱讀
- 189.8億|財政部撥款,支持這些醫療建設2024-05-20
- 會議預告 | 2022中國婦產科學術會議邀您參加2022-07-29
- 國家醫保局公布,2022耗材支付方式改革重點2022-07-11
- 2022美沃斯國際醫學美容大會的通知2022-06-07
- 北京華康普美科技有限公司2022五一放假通知2022-04-21






